LabVIEW、Vision、Halcon图像处理编程
LabVIEW点到直线的距离之数学公式法
在这里,我们将介绍基于数学公式的方法,来求点到直线的距离。在数学中点到直线的距离定义如下:
设直线 L 的方程为Ax+By+c=0,点 P 的坐标为(Xo,Yo),则点 P 到直线 L 的距离为:

点到直线的距离公式
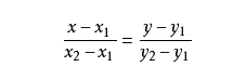
在LabVIEW VISION环境中,直线通常不是按一般式给的,而是用两点式给定的,即给定了起点和终点,那么其直线方程为

两点式直线方程
将两点式直线方程,转换为一般式则为:
(y2-y1)x+(x1-x2)y +x2y1-x1y2=0
A=y2-y1,B=x1-x2,c=x2y1-x1y2
将A、B、C代入点到直线的距离公式,则得到D公式为:
D=|(y2-y1)x0+(x1-x2)y0 +x2y1-x1y2|/√((y2-y1)^2+(x1-x2)^2)
该公式可以使用公式节点来写,也可以使用数学中的加减乘除平方开方等来计算。

利用公式节点来计算点到直线的距离

利用数学节点来计算点到直线的距离